Μάθημα : ΤΟΠΟΓΡΑΦΙΚΑ ΔΙΚΤΥΑ ΚΑΙ ΥΠΟΛΟΓΙΣΜΟΙ
Κωδικός : TOP117
Αρχικός κατάλογος ΑΣΚΗΣΕΙΣ
Εκφωνήσεις ασκήσεων
| Αρχείο | Μέγεθος | Ημερομηνία | ||
|---|---|---|---|---|
|
|
Κατανόηση του μηχανισμού της συνόρθωσης
|
4/11/13 | ||
|
|
Προεπεξεργασία γωνιομετρήσεων
|
4/11/13 | ||
|
|
Προεπεξεργασία πλευρομετρήσεων
|
18/11/13 | ||
|
|
Συνόρθωση οριζόντιου δικτύου - Έλεγχοι ποιότητας δικτύου
|
25/11/13 | ||
|
|
Συνόρθωση κατακόρυφου δικτύου - Έλεγχοι προεπεξεργασίας παρατηρήσεων και ποιότητας
|
7/1/14 | ||
|
|
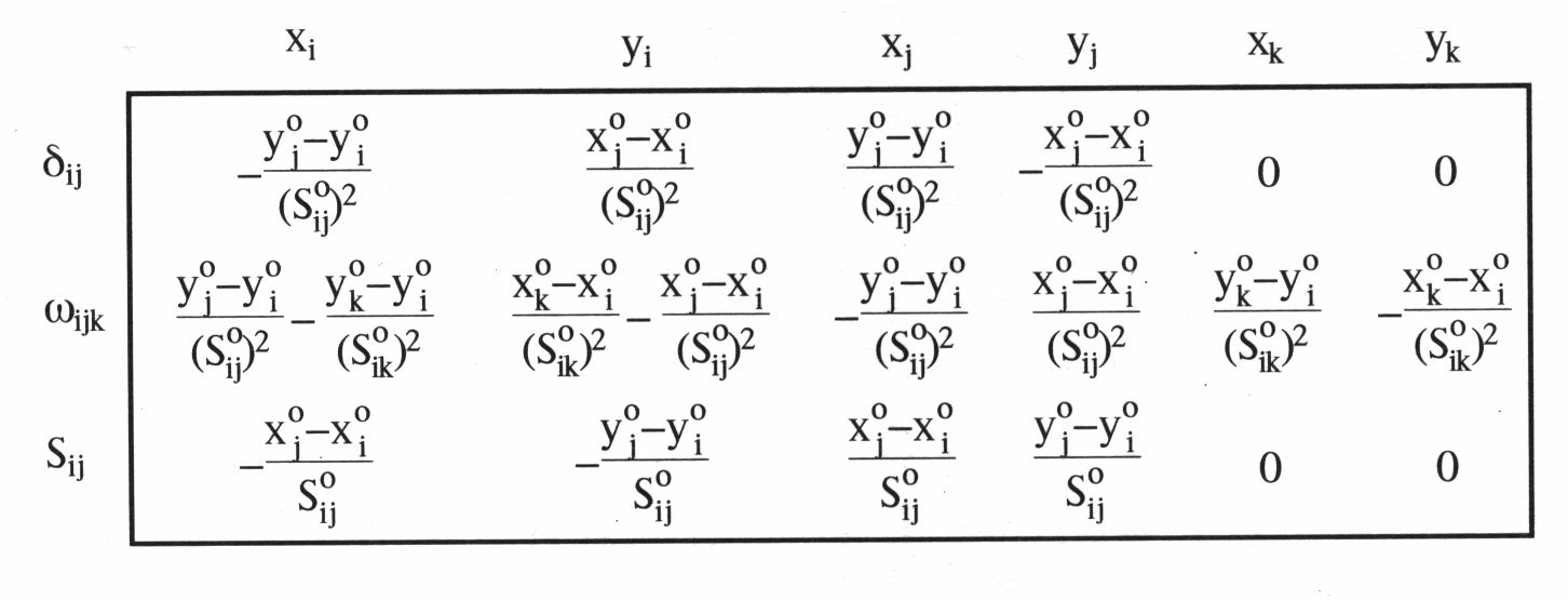
Πίνακας των μερικών παραγώγων
|
70.34 KB | 5/11/13, 8:20 μ.μ. |